大型公共建筑能耗監測需求復雜,與其他類建筑較為不同,內部用能設備種類繁多、用能系統結構復雜。遵照國家相關建筑能耗采集內容和標準規定,大型公共建筑自身實際能耗情況,采用各種智能計量表計對相應數據進行采集,實行對該建筑的總能耗進行分類分項計量,最終提供較為全面的能耗數據。

根據本建筑物所使用能源的類別不同劃分,該建筑物的能耗可分成建筑電耗、水耗兩類;根據能源的用途劃分,該建筑能耗可分成照明插座用電、空調用電、動力用電、特殊用電、耗水量五項。監測系統需要對建筑物能耗進行采集、分析、計算、統計等一系列處理工作,生成不同的分類、分項能耗指標展示出來,供用戶訪問,滿足其需求。計算公式如下:

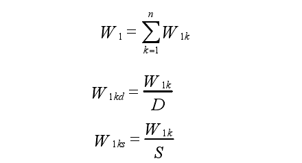
式中,W1為建筑電耗,單位為千瓦時;
k 為電耗項別:照明插座、空調、動力、特殊 4 項電耗,k 分別取 1、2、3、4.單位千瓦時;
n 為電耗項別數目:取 4;
D 為建筑內總人數,單位為人;
1kdW 為相應的人均電耗,單位為千瓦時/人;
S 為建筑總面積,單位為平方米;
1ksW 為相應的單位面積電耗,單位為千瓦時/平方米。
對于利用上面公式計算而得出的相應電耗類指標,需要對其進行標準煤折算,轉換系數為 0.1229;同理水耗也需進行相似計算,但不需要進行標準煤折算。

掃碼加微信咨詢產品、免費報價
裕乾(4006569698,www.2305055.com)是一家智慧化系統集成軟硬件研發、銷售、服務為主的高新技術企業。經過多年發展,公司已成為智慧建筑、智慧工業、智慧環保、智慧電力、智慧水利、智慧農業等領域,具有自主研發能力、自主知識產權與自主品牌一體化的先進解決方案供應商、系統集成綜合服務商。